sesong- produkter
helte- produkter
den nye strategien
god start
høst
sommer
vinter & påske
skolestart
jul
skolestart
sesong - skolestart
stabbur-makrell
frokostblanding
nora
toro rik
leverpostei FERSK
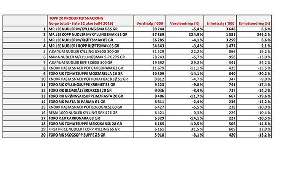
MR. LEE
nugatti
snaking markedsandel
KATEGORI-INNSIKT
salgs-utvikling
markeds- andel
palle- oversikt
mersalg ideer
MR. LEE